• Log in with Facebook Log in with Twitter Log In with Google      Sign In    
  • Create Account
  LongeCity
              Advocacy & Research for Unlimited Lifespans

Photo

The Mechanism of Programed Aging: The Way to Create a Real Remedy for Senescence

longevity genetic program natural selection bioenergetics mechanism of aging aging clock rate of aging

  • Please log in to reply
18 replies to this topic

#1 Engadin

  • Guest
  • 198 posts
  • 581
  • Location:Madrid
  • NO

Posted 04 December 2019 - 05:08 PM


.

 

 

 

 

 

S O U R C E :   Current Aging Science (downloadable .pdf)

 

 

 

 

 

Abstract:

 
Background: Accumulation of various damages is considered the primary cause of aging throughout the history of gerontology. No progress has been made in extending animal lifespan under guidance of this concept. This concept denies existence of longevity genes, but it has been experimentally shown that manipulating genes that affect cell division rates can increase the maximum lifespan of animals. These methods of prolonging life are unsuitable for humans because of dangerous side effects, but they undoubtedly indicate the programed nature of aging.
 
Objective: The objective was to understand the mechanism of programed aging to determine how to solve the problem of longevity.
 
Methods: Fundamental research has already explored key details relating to the mechanism of programed aging, but they are scattered across different fields of knowledge. The way was to recognize and combine them into a uniform mechanism.
 
Results: Only a decrease in bioenergetics is under direct genetic control. This causes many different harmful processes that serve as the execution mechanism of the aging program. The aging rate and, therefore, lifespan are determined by the rate of cell proliferation and the magnitude of the decrease in bioenergetics per cell division in critical tissues.
 
Conclusion: The mechanism of programed aging points the way to achieving unlimited healthy life: it is necessary to develop a means for managing bioenergetics. More concrete, we have to modify mitochondrial mechanism that controls the [ATP]/[ADP] level. It has already been substantially studied by molecular biologists and is now waiting for researchers from gerontology.
 
 
 
 
 
.

  • Informative x 1

#2 Mind

  • Life Member, Director, Moderator, Treasurer
  • 19,826 posts
  • 2,000
  • Location:Wausau, WI

Posted 04 December 2019 - 07:14 PM

 

 

Accumulation of various damages is considered the primary cause of aging throughout the history of gerontology. No progress has been made in extending animal lifespan under guidance of this concept.

 

Is it just me, or is this statement patently false. I thought there were innumerable experiments (most recently with senolytics), that extended lifespan in many different species.


Edited by Mind, 06 December 2019 - 06:51 PM.

  • Agree x 2

Click HERE to rent this BIOSCIENCE adspot to support LongeCity (this will replace the google ad above).

#3 Engadin

  • Topic Starter
  • Guest
  • 198 posts
  • 581
  • Location:Madrid
  • NO

Posted 05 December 2019 - 07:59 AM

Is it just me, or is this statement patently false. I thought there innumerable experiments (most recently with senolytics), that extended lifespan in many different species.

 

Mind, as far as I know, the statement of 'damage accumulation as the foundations of aging' is the concept on which Dr. de Grey's builds his theory on about aging, while Dr. Mittelforf's is 'aging is programmed on our genes'. This is stated by Josh Mitteldorf in his recently posted video here (minute 11:35).

 

 

 

 

.


Edited by Engadin, 05 December 2019 - 08:05 AM.


#4 Turnbuckle

  • Location:USA
  • NO

Posted 05 December 2019 - 12:14 PM

Only a decrease in bioenergetics is under direct genetic control. 

 

 

Trubitsyn hammers home this theme with diverse and rather diffuse arguments, but it doesn't hang together. Epigenetic aging is highly correlated with chronological age, and yet is stochastic and not programmed. Mitochondrial decline is not programed either. It's a result of the failure of the QC mechanisms, and can be easily reversed without recourse to genetic manipulation.

 



#5 dlewis1453

  • Member
  • 182 posts
  • 56
  • Location:USA
  • NO

Posted 05 December 2019 - 04:07 PM

 Epigenetic aging is highly correlated with chronological age, and yet is stochastic and not programmed. 

 

Something that makes me stop and think is the fact that many pathways in the cell change in a consistent direction with age in ways that are harmful. For example, mtor increases with age, nrf2 decreases with age, etc. 

 

If the changes in these pathways are downstream from the epigenetic aging of the cell, and if epigenetic aging of the cell is stochastic, then wouldn't we find that people's mtor and nrf2 pathways would change randomly as well, rather than the consistent march up or down that we currently see? For example, we would find that with age mtor would be increased in some cells, decreased in others, unchanged in others. 



#6 Engadin

  • Topic Starter
  • Guest
  • 198 posts
  • 581
  • Location:Madrid
  • NO

Posted 05 December 2019 - 05:01 PM

Something that makes me stop and think is the fact that many pathways in the cell change in a consistent direction with age in ways that are harmful. For example, mtor increases with age, nrf2 decreases with age, etc. 

 

If the changes in these pathways are downstream from the epigenetic aging of the cell, and if epigenetic aging of the cell is stochastic, then wouldn't we find that people's mtor and nrf2 pathways would change randomly as well, rather than the consistent march up or down that we currently see? For example, we would find that with age mtor would be increased in some cells, decreased in others, unchanged in others. 

 

 

Take into account that methylation is directly related to epigenetic alterations, and as we age some genes become hipomethylated and some others hipermethylated. And given epigenetic clock is one of most accurate aging biomarkers, it makes me be prone to believe anti-aging researchers have a good picture of where to expect upregulated and downregulated methylation as we age, IMHO.



Click HERE to rent this BIOSCIENCE adspot to support LongeCity (this will replace the google ad above).

#7 Turnbuckle

  • Location:USA
  • NO

Posted 05 December 2019 - 05:27 PM

Something that makes me stop and think is the fact that many pathways in the cell change in a consistent direction with age in ways that are harmful. For example, mtor increases with age, nrf2 decreases with age, etc. 

 

If the changes in these pathways are downstream from the epigenetic aging of the cell, and if epigenetic aging of the cell is stochastic, then wouldn't we find that people's mtor and nrf2 pathways would change randomly as well, rather than the consistent march up or down that we currently see? For example, we would find that with age mtor would be increased in some cells, decreased in others, unchanged in others. 

 

There is another source of aging that parallels epigenetic aging, and that is the decline of functional stem cells. If stem cells were always available, epigenetic aging should stop at some point as senescent cells were replaced with epigenetically young cells. But that doesn't happen as functional stem cells become depleted. mTOR is involved in the replacement of senescent cells with new cells derived from stem cells. I suspect the increase of mTOR reflects the need for more replacement cells, but this then uses up stem cells even faster and aging accelerates. mTOR inhibitors such as rapamycin reduce the loss rate and conserve stem cells, slowing the inevitable decline of the organism, but not stopping it. Better to replenish stem cell pools and eliminate the need for conservation, thereby stopping epigenetic aging. This would increase potential longevity gains far more than is possible with rapamycin.

 

There is a growing appreciation that stem cells exist within complex environments composed of distinct cell populations (Scadden, 2014), and with that has come the realization that mTOR activity within these populations is different. Indeed, although stem cells require restrained mTORC1 activity to maintain the capacity for self-renewal and differentiation (Lee et al., 2010b, 2017; Hobbs et al., 2010, 2015; Mohapatra et al., 2017), many progenitor cells require elevated mTORC1 activity to support their expansion and differentiation (Hobbs et al., 2015; Liu et al., 2017; Yang et al., 2015b).

https://www.ncbi.nlm...les/PMC5825873/

 


  • unsure x 1
  • Good Point x 1
  • like x 1

#8 dlewis1453

  • Member
  • 182 posts
  • 56
  • Location:USA
  • NO

Posted 06 December 2019 - 04:13 PM

 I suspect the increase of mTOR reflects the need for more replacement cells, but this then uses up stem cells even faster and aging accelerates. 

 

Interesting theory Turnbuckle. So under this theory, if someone replenished their stem cell pools , their mtor levels would decrease. 

 

In a couple of interviews, Dr. Alan Green, the rapamycin doctor, has stated that mtor is usually balanced in an individual's 30's, begins to creep up in the 40's, and has become harmful to the body by the 60's. 

 

Applying this observation to your theory, this would indicate that our stem cell populations are typically sufficient in our 30's, but by our 60's have been substantially depleted. This also tracks the increasing number of cells that begin reaching their hayflick limit all at once. 

 

Do you suspect that simply replenishing the stem cell pools is sufficient to substantially lower mtor? Or would you need to also lower the average epigenetic age of the body (to 40  for example), before the mtor signal is substantially reduced? 


Edited by dlewis1453, 06 December 2019 - 04:15 PM.


#9 Turnbuckle

  • Location:USA
  • NO

Posted 06 December 2019 - 04:43 PM

Interesting theory Turnbuckle. So under this theory, if someone replenished their stem cell pools , their mtor levels would decrease. 

 

In a couple of interviews, Dr. Alan Green, the rapamycin doctor, has stated that mtor is usually balanced in an individual's 30's, begins to creep up in the 40's, and has become harmful to the body by the 60's. 

 

Applying this observation to your theory, this would indicate that our stem cell populations are typically sufficient in our 30's, but by our 60's have been substantially depleted. This also tracks the increasing number of cells that begin reaching their hayflick limit all at once. 

 

Do you suspect that simply replenishing the stem cell pools is sufficient to substantially lower mtor? Or would you need to also lower the average epigenetic age of the body (to 40  for example), before the mtor signal is substantially reduced? 

 

I believe that the fraction of senescence cells is likely the driving force behind mTOR levels, and not the average epigenetic age. Thus mTOR levels should decrease with replenished stem cell pools, but only insofar as the fraction of senescent cells is lowered by replacement. Consider the case of a tissue with cells divided equally between 20 and 40 years old, with an average epigenetic age of 30. Few cells would be senescent in that tissue. But if the cells are divided equally between 5 and 55 years with an average age of 30, you could have large numbers of senescent cells and a substantially higher mTOR level. So while the average epigenetic age is the same, the mTOR levels are not.


  • unsure x 1
  • Good Point x 1

#10 dlewis1453

  • Member
  • 182 posts
  • 56
  • Location:USA
  • NO

Posted 06 December 2019 - 07:21 PM

I believe that the fraction of senescence cells is likely the driving force behind mTOR levels, and not the average epigenetic age. Thus mTOR levels should decrease with replenished stem cell pools, but only insofar as the fraction of senescent cells is lowered by replacement. Consider the case of a tissue with cells divided equally between 20 and 40 years old, with an average epigenetic age of 30. Few cells would be senescent in that tissue. But if the cells are divided equally between 5 and 55 years with an average age of 30, you could have large numbers of senescent cells and a substantially higher mTOR level. So while the average epigenetic age is the same, the mTOR levels are not.

 

 

That makes sense. Thanks for the explanation. That leads me to another question, but it relates specifically to your c60 stem cell protocol, so I will post it there. 

 

Here is a link if anyone is interested: https://www.longecit...ith-c60/page-36



#11 Kentavr

  • Guest
  • 347 posts
  • 101
  • Location:Москва

Posted 09 December 2019 - 04:37 PM

Trubitsyn hammers home this theme with diverse and rather diffuse arguments, but it doesn't hang together. Epigenetic aging is highly correlated with chronological age, and yet is stochastic and not programmed. Mitochondrial decline is not programed either. It's a result of the failure of the QC mechanisms, and can be easily reversed without recourse to genetic manipulation.


I do not agree.

With age, there is a change in gene expression not only from damage. Gene activity changes, otherwise you would grow all your life (and your tooths would constantly come out :))

Do you understand what I mean?

Edited by Kentavr, 09 December 2019 - 04:41 PM.


#12 Turnbuckle

  • Location:USA
  • NO

Posted 09 December 2019 - 06:59 PM

I do not agree.

With age, there is a change in gene expression not only from damage. Gene activity changes, otherwise you would grow all your life (and your tooths would constantly come out :))

Do you understand what I mean?

 

 

The growth of the human organism is programmed into adulthood, but that doesn't mean decline and death are programed. There are organisms for which it is, though not in humans. Mitochondria are mentioned in the OP as a specific factor, but I assert that mitochondrial decline is due to failure of the QC mechanisms to keep up. Mitochondrial heath can be restored fairly easily, and a protocol can be found here. But fixing mito health won't stop the aging process, which is due to epimutations and the failure to replace cells that are epigenetically old.


Edited by Turnbuckle, 09 December 2019 - 07:01 PM.

  • Disagree x 1

#13 Kentavr

  • Guest
  • 347 posts
  • 101
  • Location:Москва

Posted 09 December 2019 - 08:20 PM

The growth of the human organism is programmed into adulthood, but that doesn't mean decline and death are programed. There are organisms for which it is, though not in humans. Mitochondria are mentioned in the OP as a specific factor, but I assert that mitochondrial decline is due to failure of the QC mechanisms to keep up. Mitochondrial heath can be restored fairly easily, and a protocol can be found here. But fixing mito health won't stop the aging process, which is due to epimutations and the failure to replace cells that are epigenetically old.


Please watch this video in full using YouTube translation:

https://youtu.be/q5WijiooLm0

#14 Kentavr

  • Guest
  • 347 posts
  • 101
  • Location:Москва

Posted 09 December 2019 - 08:29 PM

The growth of the human organism is programmed into adulthood, but that doesn't mean decline and death are programed. There are organisms for which it is, though not in humans. Mitochondria are mentioned in the OP as a specific factor, but I assert that mitochondrial decline is due to failure of the QC mechanisms to keep up. Mitochondrial heath can be restored fairly easily, and a protocol can be found here. But fixing mito health won't stop the aging process, which is due to epimutations and the failure to replace cells that are epigenetically old.


You assume that:

1. A drop in immunity after 14 years is just an accumulation of errors?

2. Decrease in the level of coenzyme Q10 with age - is this just an accumulation of errors?

3. A decrease in the number of “young” microRNAs, and an increase in the number of “old” microRNAs, is this only an accumulation of errors?

4. Decrease in collagen synthesis with age - is this just an accumulation of errors?

Etc.

Edited by Kentavr, 09 December 2019 - 08:30 PM.


#15 Turnbuckle

  • Location:USA
  • NO

Posted 09 December 2019 - 08:52 PM

Yes, while there are other, smaller contributors to aging, such as DNA mutations, the  Maillard reaction, and the buildup of plaques, aging is primarily due to epigenetic mutations that result in the wrong mix of proteins being produced. In the extreme, cells would become no more useful than protoplasm.

 

Almost all classes of epigenetic alterations reported so far influence longevity pathways, adding further complexity to understanding the aging process. In summary, young healthy cells maintain an epigenetic state that promotes the formation of a compact chromatin structure and precise regulation of all the basic biological processes. However, aging cells experience alterations in all aspects of the chromatin landscape, DNA accessibility, and ncRNA production, until a threshold of altered gene expression and compromised genomic integrity is crossed, and the cells finally succumb to a permanent halt in progression through the cell cycle. The reversible nature of epigenetic mechanisms makes it possible to restore or reverse some of these phenotypes to attain more youthful cells.

https://www.ncbi.nlm...les/PMC4966880/

 

 

 

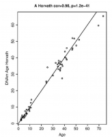
If epigenetic mutations were not the primary cause of aging, epigenetic age would not correlate as well as it does with chronological age --

 

 

 

Attached Thumbnails

  • Capture.PNG

Edited by Turnbuckle, 09 December 2019 - 09:34 PM.

  • unsure x 1
  • Good Point x 1

#16 Kentavr

  • Guest
  • 347 posts
  • 101
  • Location:Москва

Posted 09 December 2019 - 09:44 PM

Yes, while there are other, smaller contributors to aging, such as DNA mutations, the Maillard reaction, and the buildup of plaques, aging is primarily due to epigenetic mutations that result in the wrong mix of proteins being produced. In the extreme, cells would become no more useful than protoplasm.


Watch this video (from 20:20 to 25:10):

https://www.youtube....eature=youtu.be

2 genes turned off the plant called arabidopsis, and it turned into a long-lived bush!

The original plant lives 2 months, and at the end of its life dies.

Do you think this is not a program either?

Additional question: do you think that annual plants also die not according to the program, but because of the accumulation of errors?

#17 Turnbuckle

  • Location:USA
  • NO

Posted 09 December 2019 - 10:02 PM


2 genes turned off the plant called arabidopsis, and it turned into a long-lived bush!

The original plant lives 2 months, and at the end of its life dies.

Do you think this is not a program either?

Additional question: do you think that annual plants also die not according to the program, but because of the accumulation of errors?

 

 

There are species of plants and animals that suffer from programed death. Humans are not one of them.


Edited by Turnbuckle, 09 December 2019 - 10:02 PM.

  • unsure x 1

#18 Kentavr

  • Guest
  • 347 posts
  • 101
  • Location:Москва

Posted 10 December 2019 - 04:02 AM

There are species of plants and animals that suffer from programed death. Humans are not one of them.


But what about the decline in immunity, which begins in people from the age of 14?

Is this also the result of accumulating errors?

Edited by Kentavr, 10 December 2019 - 04:22 AM.


Click HERE to rent this BIOSCIENCE adspot to support LongeCity (this will replace the google ad above).

#19 Turnbuckle

  • Location:USA
  • NO

Posted 10 December 2019 - 01:20 PM

But what about the decline in immunity, which begins in people from the age of 14?

Is this also the result of accumulating errors?

 

 

Nothing about the decline of the immune system smacks of death programming. That it is slow to develop is due to the need to be exposed to diseases for imprinting, and that it declines is due to the same forces that cause declines of many tissues, including senescence and the decline of stem cell pools. These are problems that can be dealt with by refilling stem cell pools. The medical industry likes to do it with bone marrow transplants. I prefer to multiply SCs endogenously.


  • like x 1





Also tagged with one or more of these keywords: longevity, genetic program, natural selection, bioenergetics, mechanism of aging, aging clock, rate of aging

2 user(s) are reading this topic

0 members, 2 guests, 0 anonymous users